SafSour LP 652 ™ je homofermentativní bakterie mléčného kvašení, která pivu dodává příjemnou svěžest .
Ideální pro receptury kyselého piva.
Složení: bakterie (Lactiplantibacillus plantarum); maltodextrin.
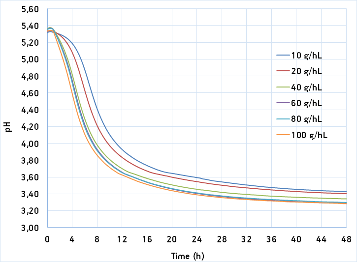
Stejně jako mnoho produktů Fermentis má SafSour™ LP 652 certifikaci E2U™, což znamená, že bakterie můžete namíchat přímo do nechmelené mladiny bez jakéhokoli předchozího kroku rehydratace. Zjednoduší vám to práci a zaručí vám stejné výsledky, pokud jde o dobu okyselení a organoleptický profil [ve srovnání s předchozí rehydratací]. Všimněte si, že je nezbytné postupovat s nechmelenou mladinou, protože Iso-alfa kyseliny přítomné v chmelu by inhibovaly růst bakterií a jejich metabolismus, pokud byste je po přidání chmele nalili. Fermentis doporučuje namíchat 10 g/hl bakterií do chlazené 12 Mladina °P v teplotním rozsahu 30 až 40 °C [86 – 104 °F]. Konečné pH dosažené za těchto podmínek bude mezi 3,2 a 3,6. Níže uvedený graf ukazuje, že při vyšší rychlosti kvašení bude mléčné kvašení probíhat rychleji a dosáhne nižšího konečného pH.
